Jadual Caruman Perkeso 2019

Kadar caruman bulanan yang dinyatakan ini hendaklah terpakai bagi pekerja yang berikut sehingga pekerja itu mencapai umur enam puluh tahun.

Jadual caruman perkeso 2019. Jadual ketiga akta kwsp 1991 digunakan sebagai rujukan untuk mengira kadar caruman terkini bagi majikan dan pekerja. Untuk makluman semua kadar caruman syer pekerja kwsp kini kembali ke asal iaitu 11 berkuatkuasa bulan januari ini. Rm for 3 months better go.

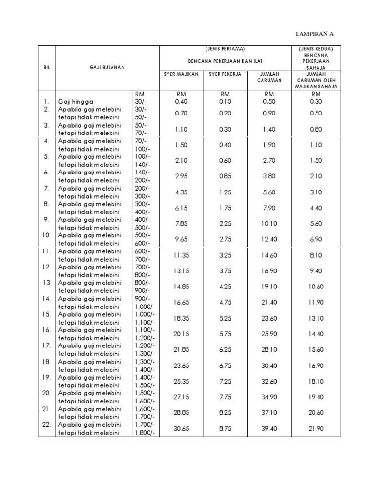
Jadual caruman socso pdf bayar caruman socso sip anda atas talian. Sumbangan perkeso adalah wajib bagi semua pekerja malaysia yang berpendapatan kurang daripada rm3 000 setiap bulan termasuk yang bekerja sementara atau kontrak. Untuk info lanjut anda boleh rujuk jadual kadar caruman di sini.

August 26 2020 admin. Bahagian a untuk pekerja warganegara dan bahagian b untuk pekerja bukan warganegara malaysia. Walaubagaimanapun sumbangan tersebut tidak wajib bagi mereka yang berpendapatan rm3 000 ke atas.

Mozilla firefox and google chrome. Untuk makluman anda semakan jadual caruman sip perkeso 2020 boleh dibuat secara online menerusi laman portal rasmi perkeso. Jadual caruman socso pdf.

Kadar caruman bulanan jadual ketiga kadar caruman bagi majikan dan pekerja terkini yang berkuat kuasa mulai gaji upah januari 2019 boleh dirujuk di dalam jadual ketiga akta kwsp 1991. Tarikh puasa 2020 malaysia. Kadar caruman bagi sistem insuran pekerjaan sip adalah daripada 0 2 syer majikan dan 0 2 syer pekerja daripada gaji bulanan pekerja.

Untuk info lanjut anda boleh rujuk jadual kadar caruman di sini. Kadar caruman adalah tertakluk kepada jadual kedua seksyen 18 akta sistem insurans pekerjaan 2017. Ia berkuatkuasa mulai gaji upah januari 2019.

Semua majikan sektor swasta perlu membayar caruman bulanan bagi setiap pekerja. Was told to bayar bulan 2 untuk caruman bulan 1 when i was at the local perkeso socwo so maybe have to wait til later in the month. The company will pay 1 75 while the staff workers will contribute 0 5 of their wages for the employment injury insurance scheme and the invalidity pension scheme.

Majikan perlu membuat bayaran caruman kwsp menurut jadual ini. Majikan dikehendaki membayar caruman kwsp berdasarkan jadual ini. This post has been edited by synical.

Website updated on 2 november 2020. Contribution table rates jadual caruman socso a company is required to contribute socso for its staff workers according to the socso contribution table rates as determined by the act. Berikut dikongsikan cara pengiraan kadar caruman kwsp atau epf dan kadar caruman perkeso socso yang terkini bagi tahun 2019.

Sumbangan perkeso adalah wajib bagi semua pekerja malaysia yang berpendapatan kurang daripada rm3 000 setiap bulan termasuk yang bekerja sementara atau kontrak.

Source : pinterest.com