Kadar Caruman Eis 2019

Both the rates of contribution are based on the total monthly wages paid to the.

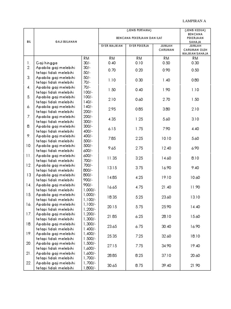
Kadar caruman eis 2019. The company will pay 1 75 while the staff workers will contribute 0 5 of their wages for the employment injury insurance scheme and the invalidity pension scheme. Untuk makluman semua kadar caruman syer pekerja kwsp kini kembali ke asal iaitu 11 berkuatkuasa bulan januari ini. Amaun emp bergantung kepada peratusan kadar bulanan menurun 80 50 40 40 30 dan 30 daripada gaji yang diinsuranskan gyd.

Kadar caruman bulanan yang dinyatakan ini hendaklah terpakai bagi pekerja yang berikut sehingga pekerja itu mencapai umur enam puluh tahun. Kadar caruman bulanan jadual ketiga kadar caruman bagi majikan dan pekerja terkini yang berkuat kuasa mulai gaji upah januari 2019 boleh dirujuk di dalam jadual ketiga akta kwsp 1991. Majikan dikehendaki membayar caruman kwsp berdasarkan jadual ini.

Jumlah caruman oleh majikan sahaja. Kadar bayaran adalah antara rm 1 700 sehingga rm 10 800 bergantung pada pendapatan bulanan dan syarat kelayakan caruman. Kalau semua memang bodoh but i believe if that form exist i think they will give eis number to everyone if you want my opinion i think better deduct first so when perkeso request january payment company can.

Gaji hingga rm 30. Semua majikan sektor swasta perlu membayar caruman bulanan bagi setiap pekerja. Kadar caruman kadar caruman akta keselamatan sosial pekerja akta 4 bil gaji bulanan jenis pertama skim bencana pekerjaan dan skim keilatan jenis kedua skim bencana pekerjaan syer majikan.

Kadar caruman bagi sistem insuran pekerjaan sip adalah daripada 0 2 syer majikan dan 0 2 syer pekerja daripada gaji bulanan pekerja. About need to deduct from employee for january is a must i think just dunno when and how to pay for january eis. Kadar caruman adalah tertakluk kepada jadual kedua seksyen 18 akta sistem insurans pekerjaan 2017.

Source : pinterest.com